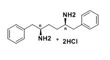
(2R,5R)-1,6-Diphenylhexane-2,5-diaMine dihydrochloride

  • CasNo:1247119-31-8
  • Molecular Formula:C18H25ClN2
  • Purity:98%
  • Molecular Weight:304.8575
Inquiry

Product Details