专业品牌
TOKIND专注于实效性的产品开发理念,从产品定位、研发、转化到生产,实施全套服务体系。
Anhui Tokind Advanced Material Co., Ltd
Life through discovery! Step by step ferociously!
打造最具特色创新产品和一流科技服务的绿色化学企业。
TOKIND专注于实效性的产品开发理念,从产品定位、研发、转化到生产,实施全套服务体系。
突出化学产品特点,从实处出发解决工业技术难题,生产高品质产品,满足终端产品需要。
TOKIND获得多项专利,多项国家权威资质认证,获得多种化学品生产经营资质与管理资质。
TOKIND拥有现代化实体工厂,集研发、中试、生产、服务为一体,有效保障产品全线服务。
Anhui Tokind Advanced Material Co., Ltd
OurProduct
slogan
CAS:694-53-1
CAS:3211-76-5
CAS:672-15-1
CAS:6027-21-0
CAS:98-80-6
CAS:1765-93-1
CAS:6601-22-5
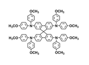
CAS:207739-72-8
Deep cultivation in chemical industry